Skip to content
  • 11 listopada 2025

Spółdzielnia Mieszkaniowa we Wschowie

Spółdzielnia Mieszkaniowa we Wschowie

  • Strona Głowna
  • Polecane strony
  • Kontakt
  • Strona domowa
  • Bez kategorii
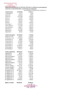
  • Zadłużenie na poszczególnych budynkach na dzień 30.06.2023
  • Informacja o zadluzeniu na 30-06-2023
12 sierpnia 2023

Informacja o zadluzeniu na 30-06-2023