Skip to content
  • 11 listopada 2025

Spółdzielnia Mieszkaniowa we Wschowie

Spółdzielnia Mieszkaniowa we Wschowie

  • Strona Głowna
  • Polecane strony
  • Kontakt
  • Strona domowa
  • Bez kategorii
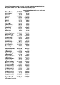
  • Zadłużenie na poszczególnych budynkach na dzień 31.12.2021
  • Zadlużenie-na-dzień-31.12.2021r
29 marca 2022

Zadlużenie-na-dzień-31.12.2021r