Skip to content
  • 11 listopada 2025

Spółdzielnia Mieszkaniowa we Wschowie

Spółdzielnia Mieszkaniowa we Wschowie

  • Strona Głowna
  • Polecane strony
  • Kontakt
  • Strona domowa
  • Bez kategorii
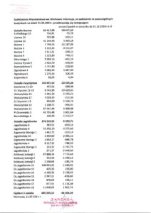
  • Zadłużenia na poszczególnych budynkach na dzień 31.03.2021r.
  • zadlużenia
30 lipca 2021

zadlużenia